깊이 우선 탐색(DFS)란?

: 그래프의 시작 노드에서 출발하여 탐색할 한 쪽 분기를 정하여 최대 깊이까지 탐색을 마친 후 다른 쪽 분기로 이동하여 다시 탐색을 수행하는 알고리즘
→ 현재 탐색 중인 노드를 기준으로 연결된 노드를 즉시 방문하는 방식
- 재귀 함수로 구현
- 스택 자료구조 이용
- 시간 복잡도 - O( V + E ) [노드 수: V, 에지 수: E]
깊이 우선 탐색(DFS)의 핵심 이론
- 시작점으로부터 연결된 모든 정점을 전부 방문해야 한다.
- 이미 방문한 정점은 다시는 방문하지 않는다.

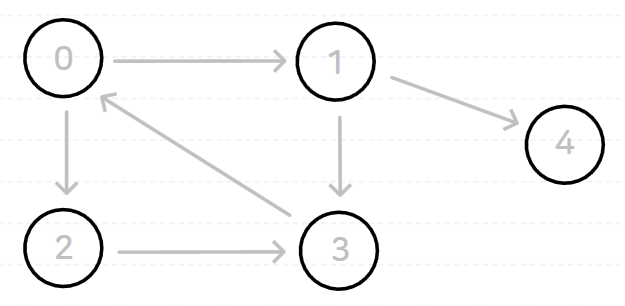
N = 5 #노드 개수
# 인접 리스트 만들기
adj_list = [[] for _ in range(N)]
adj_list[0].append(1); adj_list[0].append(2)
adj_list[1].append(4); adj_list[1].append(3)
adj_list[2].append(3)
adj_list[3].append(0)
# [[1, 2], [4, 3], [3], [0], []]
visited = [False] * N
def dfs(node):
global adj_list, visited
if visited[node]:
return
visited[node] = True
print(node, end=' ')
for adj_node in adj_list[node]:
dfs(adj_node)
dfs(0) # 시작노드를 0으로 설정
너비 우선 탐색(BFS)란?

: 시작 노드에서 출발해 시작 노드를 기준으로 가까운 노드를 먼저 방문하면서
- FIFO 탐색
- Queue 자료구조 이용
- 시간 복잡도 - O( V + E ) [노드 수: V, 에지 수: E]
너비 우선 탐색(BFS)의 핵심 이론

from collections import deque
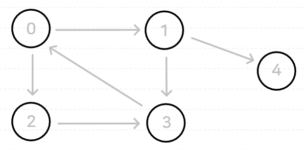
N = 5
adj_list = [[] for _ in range(N)]
visited = [False] * N
adj_list[0].append(1)
adj_list[0].append(2)
adj_list[1].append(4)
adj_list[1].append(3)
adj_list[2].append(3)
adj_list[3].append(0)
# 시작 노드 넣기
q = deque()
q.append(0)
visited[0] = True
while q:
node = q.popleft()
print(node, end=' ')
for adj_node in adj_list[node]:
if visited[adj_node]:
continue
q.append(adj_node)
visited[adj_node] = True
'[Algorithm] 알고리즘' 카테고리의 다른 글
| 플로이드 워셜 알고리즘 (0) | 2024.07.09 |
|---|---|
| [Python][백준1931] 회의실 배정 (3) | 2024.07.02 |
| 그리디(Greedy) 알고리즘 (1) | 2024.07.02 |
| [Python] Heap(힙) (1) | 2024.06.10 |
| [Python][백준] 구간 합 구하기5 (11660) (0) | 2024.06.04 |